diff 算法流程概览
前言
在 beginWork那一节我们知道了,在 reconcileChildren 中,会根据当前的 current 是否存在,来判断是进入 update 还是 mount 的逻辑
在 update时,会维护两棵虚拟 DOM 树,React 在每次更新时,都会将本次的新的内容与旧的 Fiber 树进行对比,通过 Diff 算法比较他们之间的差异后,构建新的 Fiber 树,将计算好的需要更新的节点放入更新队列中,从而在 commti 阶段,依据这个 Diff 结果,对真实 DOM 进行更新渲染。
这样可以确保通过最小的代价来将旧的 Fiber 树转化为新的 Fiber 树,以保证 UI 与新的树保持同步
虚拟 DOM
虚拟 DOM ,它是一种编程概念,在这个概念里,以一种虚拟的表现形式被保存在内存中。在 React 中,render 执行的结果得到的并不是真正的 DOM 节点,而是 JavaScript 对象
虚拟 DOM 只保留了真实 DOM 节点的一些基本属性,和节点之间的层次关系,它相当于建立在 JavaScript 和 DOM 之间的一层“缓存”
<div class="hello">
<span>hello world!</span>
</div>上面的这段代码会转化可以转化为虚拟 DOM 结构
{
tag: "div",
props: {
class: "hello"
},
children: [{
tag: "span",
props: {},
children: ["hello world!"]
}]
}其中对于一个节点必备的三个属性 tag、props、children
- tag 指定元素的标签类型,如
li,div - props 指定元素身上的属性,如
class,style,自定义属性 - children 指定元素是否有子节点,参数以数组形式传入
而我们在 render 中编写的 JSX 代码就是一种虚拟 DOM 结构。
Diff 策略
那么基于多叉树的 Diff 算法,如果需要完整的对比之间的差异,复杂度会达到 O(n^3),也就是 1000 个元素需要进行 10 亿次的比较,这个开销非常之大,React 基于一些策略,来实现了 O(n) 复杂度的 Diff 算法
- 只对同级元素进行 diff ,如果 dom 前后两次更新跨层级,不会复用,而作为新元素
- 两个不同类型的元素会产生出不同的树。如 div 变成 p 会将整棵树销毁
- 可以通过** key** 来暗示不同的渲染下保持稳定

而针对这三种策略,分别对应着** **tree diff,component diff 以及 element diff 来进行算法优化
按 Tree 层级 Diff
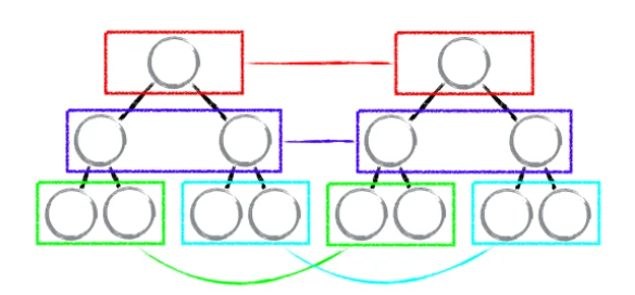
首先会将新旧两个 DOM 树,进行比较,这个比较指的是分层比较。又由于 DOM 节点跨层级的移动操作很少,忽略不计。React 通过 updataDepth 对 虚拟 DOM 树进行层级控制,只会对同层节点进行比较,也就是图中只会对相同颜色方框内的 DOM 节点进行比较。例如:
当对比发现节点消失时,则该节点及其子节点都会被完全删除,不会进行更深层次的比较,这样只需要对树进行一次遍历,便能完成整颗 DOM 树的比较
这里还有一个值得关注的地方:DOM 节点跨层级移动
为什么会提出这样的问题呢,在上面的删除原则中,我们发现当节点不存在了就会删除,那我只是给它换位了,它也会删除整个节点及其子节点吗?
如图,我们需要实现这样的移动,你可能会以为它会直接这样移动
但是实际情况,并不是这样的。由于 React 只会简单的进行同层级节点位置变化,对于不同层级的节点,只有创建和删除操作,当发现 B 节点消失时,就会销毁 B,当发现 C 节点上多了 B 节点,就会创建 B 以及它的子节点。
因此这样会非常的复杂,所以 React 官方并不建议我们进行 DOM 节点跨级操作
按 component 层级 diff
在组件层面上,也进行了优化
- 如果是同一类型的组件,则按照原策略继续比较 虚拟 DOM Tree
- 如果不是,则将这个组件记为
dirty component,从而替换整个组件下的所有子节点
同时对于同一类型的组件,有可能其 Virtual DOM 没有任何变化,如果能够确切的知道这点就可以节省大量的 diff 运算的时间,因此 React 允许用户通过 shouldComponentUpdate() 判断该组件是否需要进行 diff 算法分析
总的来说,如果两个组件结构相似,但被认定为了不同类型的组件,则不会比较二者的结构,而是直接删除
按 element 层级 diff
element diff 是专门针对同一层级的所有节点的策略。当节点在同一层级时,diff 提供了 3个节点操作方法:插入,移动,删除
当我们要完成如图所示操作转化时,会有很大的困难,因为在新老节点比较的过程中,发现每个节点都要删除再重新创建,但是这只是重新排序了而已,对性能极大的不友好。因此 React 中提出了优化策略:
允许添加唯一值 key 来区分节点
引入 key 的优化策略,让性能上有了翻天覆地的变化
那 key 有什么作用呢?
当同一层级的节点添加了 key 属性后,当位置发生变化时。react diff 进行新旧节点比较,如果发现有相同的 key 就会进行移动操作,而不会删除再创建
那 key 具体是如何起作用的呢?
首先在 React 中只允许节点右移
因此对于上图中的转化,只会进行 A,C 的移动
则只需要对移动的节点进行更新渲染,不移动的则不需要更新渲染
为什么不能用 index 作为 key 值呢?
index 作为 key ,如果我们删除了一个节点,那么数组的后一项可能会前移,这个时候移动的节点和删除的节点就是相同的 key ,在react中,如果 key 相同,就会视为相同的组件,但这两个组件是不同的,这样就会出现很麻烦的事情,例如:序号和文本不对应等问题
所以一定要保证 key 的唯一性
建议
React 已经帮我们做了很多了,剩下的需要我们多加注意,才能有更好的性能
基于三个策略我们需要注意
- tree diff 建议:开发组件时,需要注意保持 DOM 结构稳定
- component diff 建议:使用
shouldComponentUpdate()来减少不必要的更新 - element diff 建议:减少最后一个节点移动到头部的操作,这样前面的节点都需要移动
下节开始,我们将会介绍 React 源码中的 Diff 算法的实现,它可以根据同级节点的数量分为两类
- 一种是用于
object、number、string类型的节点,这些都是单一节点的 Diff - 一种是
array类型的多节点 Diff
我们将分为两节来介绍,下节介绍单一节点的 Diff 算法
参考资料
谈谈React中Diff算法的策略及实现
React diff算法
浅谈react 虚拟dom,diff算法与key机制